ՄաթեմատիկաՄխիթար Սեբաստացի կրթահամալիրПерейти к содержимому
Поиск:
1)Քանի՞ երկնիշ թիվ կա, որոնց թվանշանների գումարը կենտ է:
1) 44
3) 46
2) 45
4) 47
2)Գտնել բոլոր այն երկնիշ թվերի քանակը, որոնք հավասար են իրարից տարբեր 2 պարզ թվերի արտադրյալի, որոնցից մեկը 13-ն է:
1) 3
2) 4
3) 5
4) 6
3)Քանի՞ վայրկյան է րոպեի 2/5-ը։
1) 12
2) 15
3) 24- 4) 30
- 4)Քանի՞ անգամ 325,6 թիվը պետք է բազմապատկել 0,1-ով, որպեսզի ստացվի 0,03256:
1) 1
2) 4
3) 2
4) 3
5)Ջրի և աղի 300 գրամանոց խառնուրդում աղը 120 գրամ է: Ինչպե՞ս են հարաբերում աղի և ջրի քանակները:
1) 2:4
2) 3:2
3) 4:2
4) 2:3
6)Գտնել 3a4b2c միանդամի կարգը:
1) 2
2) 4
3) 5
4) 6 - 7)a3 — 3a2 + a — 3 արտահայտությունը վերլուծել արտադրիչների:
1) (a — 3)(a2 — 1)
2) (a + 3)(a2 + 1)
3) (a — 3)(a2 + 1)
4) (a + 3)(a2 — 1)
8)A-ն միանիշ պարզ թվերի բազմությունն է։ Քանի՞ տարր ունի Z∩A բազմությունը:
1) 2
2) 3
3) 1
4) 4
9)Գտնել y = (x — 3)2 + 1 պարաբոլի համաչափության առանցքի հավասարումը։
1) x = — 3
2) x = 3
3) x = — 1
4) x = 1 - 10)Գտնել x2 — 2x — 5 = 0 հավասարման արմատների գումարը:
1) 5
2) -5
3) 2
4) -2
11)y = √x ֆունկցիայի վերաբերյալ ո՞ր պնդումն է ճիշտ:
1) Ֆունկցիան նվազող է։
2) Ֆունկցիայի գրաֆիկը x > 0 դեպքում դասավորված է Ox առանցքից ներքև:
3) Եթե 0 < x < 1 ապա x < √x:
4) Ֆունկցիայի որոշման տիրույթը դրական թվերի բազմությունն է: - 12)Քանի՞ եղանակով է հնարավոր 4 կապույտ և 4 սև գրիչներից ընտրել 1-ական կապույտ և սև գրիչ։
1) 12
2) 14
3) 16
4) 10
(13-15)Գտնել արտահայտության արժեքը:

- 13)1) -0,25
2) -0,4
3) 0,25
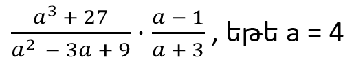
4) 1/9 - 14)

- 1)2
2)3
3)-3
4)1 - 15)

- 1) 12
2) 2
3) 16
4) 8 - (16-18) Հավասարումներ և անհավասարումներ:
16)Գտնել 3 + 2x > x + 1 անհավասարման լուծումների բազմությունը:
1) (-∞; -2)
2) (-2; +∞)
3) (-∞; 2)
4) (2; +∞) - 17)Գտնել √(3x -2) ≤ 4 անհավասարման լուծումների բազմությունը:
1) [2/3; +∞)
2) (-∞; 6]
3)[2/3; 6]
4)[2/3; 14/3] - 18)Լուծել x2 + 5x — 6 < 0 անհավասարումը:
1) (-1; 6)
2) (-∞;-1)U(6; +∞)
3) (-6; 1)
4) (-∞; -6)U(1; +∞) - (19-20) Պրոգրեսիա
19)Գտնել (an) թվաբանական պրոգրեսիայի Տ9 -ը, եթե a3 + a7 = 22 : 99
20) Գտնել (bn) երկրաչափական պրոգրեսիայի b10-ը, եթե (b6)2 ∙ b18 = 125: 5 - (21–22) Ավազանին միացված են երկու լցնող խողովակ: Առաջին խողովակով դատարկ ավազանը լցվում է 10 ժամում, իսկ երկրորդով՝ 15 ժամում։
21)Քանի՞ ժամում կլցվի դատարկ ավազանը, եթե երկու խողովակները բացեն միաժամանակ: - 6
22)Առաջին խողովակը բացեցին 8 ժամով, այնուհետև փակեցին: Քանի՞ ժամ պետք է բացել երկրորդ խողովակը, որպեսզի ավազանը լցվի:
12
Оставить комментарий