1)Գտեք ABCD զուգահեռագծի D գագաթի կոորդինատները, եթե A(0, 0) B(5, 0) C(12,- 3):

D(7;-3)
2)Գտեք A և B կետերի հեռավորությունը, եթե`
ա) A(2, 7), B(-2, 7),

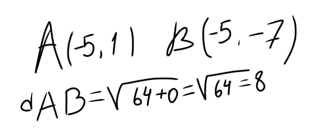
բ) A(-5, 1), B(-5, -7),

գ) A(-3, 0), B(0, 4),

դ) Α(0, 3), B(-4, 0):
1)Գտեք ABCD զուգահեռագծի D գագաթի կոորդինատները, եթե A(0, 0) B(5, 0) C(12,- 3):

D(7;-3)
2)Գտեք A և B կետերի հեռավորությունը, եթե`
ա) A(2, 7), B(-2, 7),

բ) A(-5, 1), B(-5, -7),

գ) A(-3, 0), B(0, 4),

դ) Α(0, 3), B(-4, 0):
Оставить комментарий