1)Շրջանագծին արտագծած հավասարասրուն սեղանի հիմքերը հավասար են 2սմ և 8սմ։ Գտեք սեղանի պարագիծը։

10+10=20
P=20
2)Շրջանագծին արտագծած հավասարասրուն սեղանի հիմքերից մեկը հավասար է մյուսի եռապատիկին, իսկ սեղանի սրունքը 8սմ է։ Գտեք սեղանի հիմքերը։

3)Գտեք շրջանագծին արտագծած հավասարասրուն սեղանի կողմերը, եթե նրա պարագիծը 40սմ է, իսկ հիմքերից մեկը 4 անգամ փոքր է մյուսից։

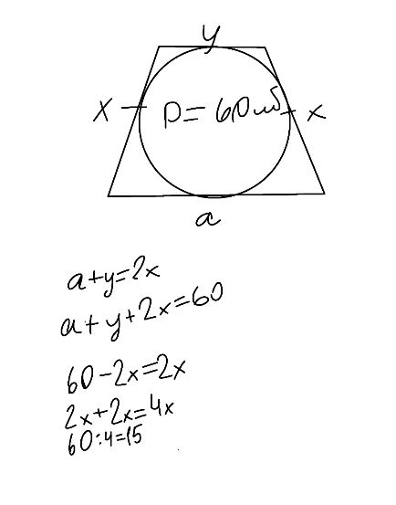
4)Հավասարասրուն սեղանին ներգծած է շրջանագիծ։ Այդ սեղանի պարագիծը 60սմ է։ Գտեք նրա սրունքը։

5)Հավասարասրուն սեղանի սրունքը 8սմ է, իսկ փոքր հիմքին առընթեր անկյունների գումարը՝ 300օ ։ Գտեք այդ սեղանին ներգծած շրջանագծի շառավիղը։

Оставить комментарий