1)Ընդհանուր արտադրիչը դուրս բերեք փակագծերից․

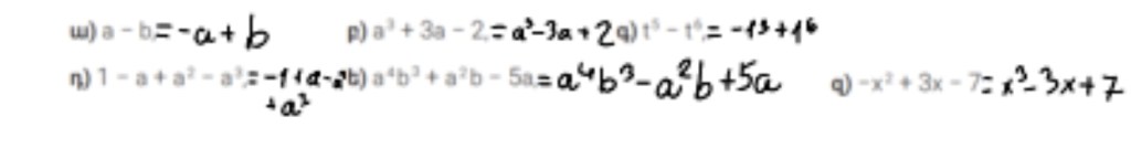
2)Գրե’ք բազմանդամի հակադիր բազմանդամը․

3)M և N տառերի փոխարեն ընտրեք այնպիսի միանդամներ, որ ստացվի ճիշտ հավասարություն․

Լրացուցիչ աշխատանք (տանը)․
1)Գրե’ք բազմանդամի հակադիր բազմանդամը․

1)Ընդհանուր արտադրիչը դուրս բերեք փակագծերից․

2)Գրե’ք բազմանդամի հակադիր բազմանդամը․

3)M և N տառերի փոխարեն ընտրեք այնպիսի միանդամներ, որ ստացվի ճիշտ հավասարություն․

Լրացուցիչ աշխատանք (տանը)․
1)Գրե’ք բազմանդամի հակադիր բազմանդամը․

Оставить комментарий