
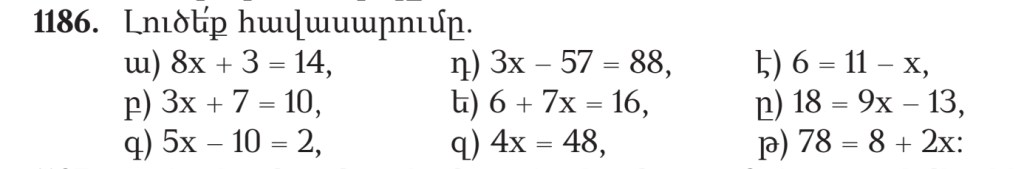
Ա) x=3
Բ)x= -6
Գ) x= -18
Դ) x= -7
Ե) x=0
Զ) x=3

837,2+0,01=837,21

66

Ա) 1 3/8
Բ) 1
Գ) 2 2/5
Դ) 48 1/3
Ե) 1 3/7
Զ) 12
Է) 5
Ը) 3 4/9
Թ) 35

10000գ, 20գ, 16530008գ
150000մ², 10030մ²

Ա) 24 4/9
Բ) 5 6/13
Գ) 4 1/4
Դ) 3 14/15

Ա) x=3
Բ)x= -6
Գ) x= -18
Դ) x= -7
Ե) x=0
Զ) x=3

837,2+0,01=837,21

66

Ա) 1 3/8
Բ) 1
Գ) 2 2/5
Դ) 48 1/3
Ե) 1 3/7
Զ) 12
Է) 5
Ը) 3 4/9
Թ) 35

10000գ, 20գ, 16530008գ
150000մ², 10030մ²

Ա) 24 4/9
Բ) 5 6/13
Գ) 4 1/4
Դ) 3 14/15
Оставить комментарий