1)Մի քառակուսու կողմը k անգամ մեծ է մյուս քառակուսու կողմից: Գտե՛ք այդ քառակուսիների մակերեսների հարաբերությունը:

2)Քառակուսաձև սենյակներից մեկի կողմը 2 անգամ փոքր է մյուսի կողմից: Գտե՛ք փոքր սենյակի մակերեսը, եթե մեծի մակերեսը 36 մ է:

3)Խոհանոցի պատը երեսապատված է 15 սմ կողմով քառակուսաձև 120 սալիկով: Քանի՞ ուղղանկյունաձև նոր սալիկ է պետք նույն պատը երեսապատելու համար, եթե նոր սալիկների կից կողմերը 10 սմ և 20 սմ են:
15•15=225
225•120=27000 սմ²
10•20=200
27000։200=135սմ ²
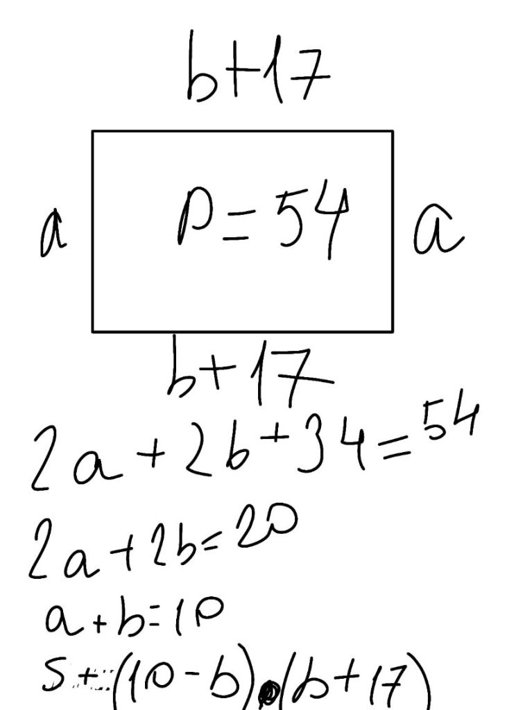
4)Գտե՛ք 54 սմ պարագծով ուղղանկյան մակերեսը, եթե՝
ա) կից կողմերից մեկը մյուսից մեծ է 3 սմ–ով,

բ) կից կողմերը հարաբերում են, ինչպես 4 : 5,

գ) կողմերից մեկը (b + 17) սմ է:

Оставить комментарий